生命起源过程中,前生命肽的合成是生命化学演化中的关键一步,也是核糖体出现之前的核心科学谜题之一。长期以来,氨基酸在无催化剂条件下如何自发聚合形成肽链,面临热力学和动力学上的显著障碍。近年来的研究多集中于探索外源催化剂或活化剂的作用,如何在早期地球条件下实现无催化剂、自发形成肽链,仍然是一个挑战。
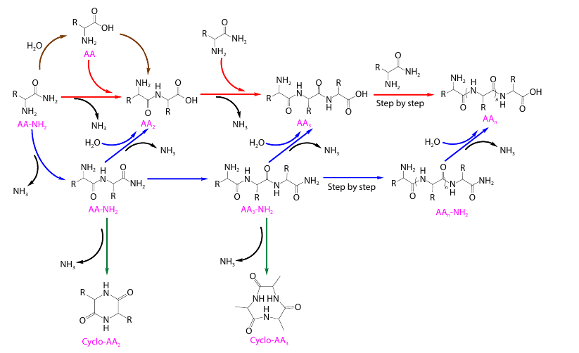
宁波大学钱学森天体化学与空间生命协同研究中心、西安交通大学电气工程学院等单位合作,在模拟原始地球的干湿循环条件下,系统研究了氨基酸酰胺(AA-NH₂)形成肽的化学反应路径(图1)。研究发现,在温和温度(80℃)和较宽pH范围内,AA-NH₂无需任何外加催化剂即可自发形成线性寡肽、寡肽酰胺以及环状寡肽,并能作为“桥梁”帮助天然氨基酸参与肽链延长。

图1. 从氨基酸酰胺到多肽库的合成机制网络。
研究亮点包括:
1)AA-NH₂在湿-干循环中直接生成多类肽产物
实验表明,丙氨酸酰胺(Ala-NH₂)在干湿循环过程中可形成二聚至四聚线性寡肽(Ala₂–Ala₄)、寡肽酰胺(长达六聚)以及环二肽(cyclo-Ala₂),揭示在前生命阶段AA-NH₂很可能是形成多种肽类结构的重要前体。
2)反应适应宽泛pH环境
该途径在pH 3.0至10.0范围内均可进行,尤其在接近中性的pH 7.0条件下肽链延长更显著,说明本研究的成肽反应具备在早期地球多种水环境(如碱性湖泊、潮汐池)中发生的可能性。
3)AA-NH₂作为“桥梁”促进氨基酸参与肽形成
AA-NH₂与20种天然氨基酸分别反应均可形成二肽或三肽,其中亲水性氨基酸(如谷氨酸、丝氨酸)反应效率更高。量子化学计算进一步证实,AA-NH₂与AA反应的活化能显著低于AA自身聚合,说明其在形成前生命肽过程中具有热力学优势。
该研究首次系统阐明AA-NH₂作为前生命肽合成前体的可行性与机制,为原始地球条件下肽库的自主形成提供了新的化学途径,也为理解前生命分子的积累与演化机制提供了实验和理论支持。
研究成果发表在学术期刊Earth and Planetary Physics(Gan, D. W., Lei, X. M., Zhou, R. W., Fu, S. S., Sun, J., Zhou, R. S., Ostrikov, K. K., Zhao, Y. F., & Ying, J. X., A plausible pathway to prebiotic peptides via amino acid amides on the primordial Earth [J]. Earth and Planetary Physics,2024, 8(6), 868–877. 研究受国家自然科学基金资助。
附件:
