郭笑汎|应见喜等—Palaeo 3:局部pH动荡情景:在早期地球环境下通过脯氨酰胺合成环二肽
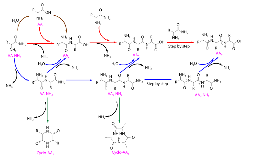
早期火山附近的小水池被认为是生命起源的理想场所,然而小池子的pH振荡机制对于生物分子聚合的作用一直被低估了。研究通过模拟“温暖的小池塘”,证明了pH振荡环境提供了一种有效的、新颖的途径,对于脯氨酸酰胺和游离氨基酸形成环二肽有显著影响。令人惊喜的是,通过脯氨酸酰胺合成环二肽的过程无需任何催化剂。进一步的研究表明,早期地球表面的活化剂P3m、黏土矿物(蒙脱土、方解石、磁铁矿)、金属离子(Ca2+、Mg2+)等在该过程中起到了重要的作用。总之,本研究为前生命肽的合成提供了一条可行的途径,并提出了生命起源理想场所下...
早期火山附近的小水池被认为是生命起源的理想场所,然而小池子的pH振荡机制对于生物分子聚合的作用一直被低估了。本文通过模拟“温暖的小池塘”,证明了pH振荡环境提供了一种有效的、新颖的途径,对于脯氨酸酰胺和游离氨基酸形成环二肽有显著影响。令人惊喜的是,通过脯氨酸酰胺合成环二肽的过程无需任何催化剂。进一步的研究表明,早期地球表面的活化剂P3m、黏土矿物(蒙脱土、方解石、磁铁矿)、金属离子(Ca2+、Mg2+)等在该过程中起到了重要的作用。总之,本研究为前生命肽的合成提供了一条可行的途径,并提出了生命起源理想场所下...
2026-01-21